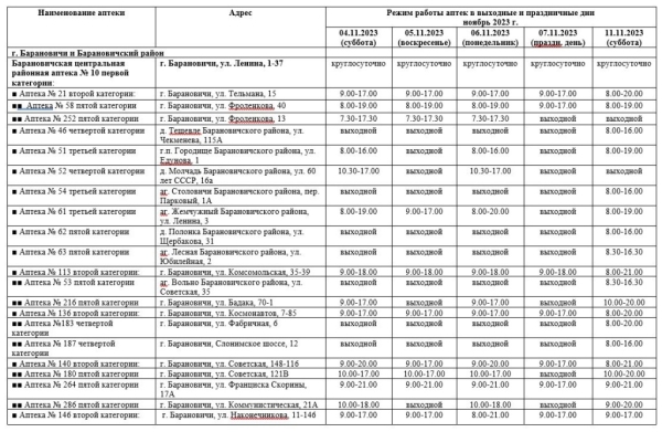
Разное Как будут работать аптеки Барановичей в выходные и праздничные дни Опубликовано Ноя 3, 2023 1 688 Поделится 1 688 Поделится VKOK.ruFacebookTwitterWhatsAppTelegramViber
Комментарии закрыты.